De Kelvin A Rankine
Es la escala absoluta correspondiente al Fahrenheit donde el punto cero corresponde a -4597 ºF. 285 K 118500 ºC.
Convertir Grados Celsius Rankine Kelvin Y Fahrenheit Video Dailymotion
Así agrega 45967 al valor 0 en Fahrenheit y luego multiplica el resultado por 5 en seguida divide el resultado entre 9.

De kelvin a rankine. 39 rows Rankine to Kelvin How to convert Kelvin to Rankine. Fahrenheit F Ra - 45967 Kelvin. The symbol for degrees Rankine is R or Ra if necessary to distinguish it from the Rømer and Réaumur scales.
Esta escala también llamada grado Celsius tiene el punto de fusión del hielo como valor 0 y el punto de ebullición del agua como valor 100 siempre a presión normal. Conversão de Rankine 1 Conversão de para Fórmula Fahrenheit. 38 rows Rankine a Kelvin Cómo convertir Kelvin a Rankine.
Kelvin a Rankine Cómo convertir Rankine a Kelvin. De kelvin a rankine. By analogy with the SI unit the kelvin some authors term the unit Rankine omitting the degree symbol.
En 1948 la Conferencia General de Pesos y Medidas oficializó el nombre de grado Celsius para referirse a la unidad termométrica. Rankine R Kelvin x 18. Nombrada en honor de René Antoine Ferchault de Réaumur 1683-1757.
If required there are worked examples below which use this formula to show how to convert a temperature in Rankine to a temperature in Kelvin. Ra F 45967 Rankine. De Celsius a Fahrenheit.
Kelvin K Rankine 18. Based upon the definitions of the Fahrenheit scale and the experimental evidence that absolute zero is -45967ºF Rankine to Kelvin formula K ºR - 49167 27315 18000 Kelvin. The Newton Scale N.
Réaumur Ré Ra - 49167 49 Newton. K F 45967 59. Kelvin to Celsius K to C formula.
Kelvin to Rankine formula ºR K - 27315 18000 49167 Show working Show result in exponential format Kelvin Based upon the definitions of the Centigrade scale and the experimental evidence that absolute zero is -27315ºC Kelvin to Rankine formula ºR K - 27315 18000 49167 Rankine A ºF version of the Kelvin scale. Más videos de Conversión de Unidades de Temperatura aquíhttpsbitly2DbfFIJSuscríbete a mi canal Salvador FIhttpsbitly2xuvk0MTemperatura Kelvin. Ra C27315 95 Rankine.
De Celsius a Kelvin. Ra K 95 Rankine. 39 rows How to convert Rankine to Kelvin.
Esta escala fue propuesta por el físico e ingeniero escocés William Rankine en 1859. As for the Kelvin scale since you cant get any colder than absolute zero there are no negative numbers on the Rankine scale. Some important temperatures relating the Rankine scale to other temperature scales are shown in the table below.
De Kelvin a Celsius. De Kelvin a Fahrenheit. The temperature T in degrees.
William John Macquorn Rankine 1820-1872 is the proponent of the Rankine temperature scale. The temperature T in Kelvin K is equal to the. De Rankine a Fahrenheit.
K Ra 59 Celsius. Mientas por otro lado el grado Réaumur cuyo símbolo es ºRe es una unidad de temperatura en desuso. O ponto de congelamento da água é 0 C e o ponto de ebulição é 100 C.
Celsius C Ra 59 - 27315 Réaumur. If required there are worked examples below which use this formula to show how to convert a temperature in Kelvin to a temperature in Rankine. Para convertir de grados Kelvin y Celsius sólo exige restar 27315 de la lectura Kelvin.
Al contar con un dato en grados Fahrenheit lo que hay que hacer para convertirlo a grados absolutos Rankine es sumar 460. Formula para convertir de grados kelvin a rankine Esta calculadora se ofrece como una ayuda para el médico pero en ningún caso pretende sustituir el criterio de este. Ra Ré 94 49167 Rankine.
Kelvin To Rankine Formula. De Fahrenheit a Kelvin. La temperatura T en Kelvin K es igual.
Para convertir de Fahrenheit a Kelvin usa la siguiente fórmula. You can also get the formula used in Kelvin to Rankine conversion along with a table representing the entire conversion. Así 0 Fahrenheit 0 45967 59 45967 59 25537 Kelvin.
La temperatura T en grados Rankine R. Difiere de la Celsius tanto en los valores asignados a los puntos fijos Llamada absoluta o Kelvin en honor a sir Lord Kelvin. As with any math calculation and conversion its good practice to double check your results.
The Rankine scale has 0 R ie 0 K 45967 F as absolute zero 49167 R 32 F as the freezing point of water and 67167 R 212 F as the boiling point of water. If you are using this formula for your own conversions you can check your result with the Rankine to Kelvin. As with any math calculation and conversion its good practice to double check your results.
De Fahrenheit a Celsius. De Fahrenheit a Rankine. Use this formula to convert a temperature in Rankine K to Kelvin R.
Cuando se tiene un valor en Kelvin sólo se restan los 273 grados que llevan al cero absoluto para estar de nuevo en la escala Celsius. Como ejemplo en el punto de congelación del agua a 0 Celsius ya hay 273 Kelvin. De Réaumur a.
Rankine to Kelvin formula K ºR - 49167 27315 18000 Show working Show result in exponential format Rankine A ºF version of the Kelvin scale.
Convertir Grados Fahrenheit A Celsius Rankine Y Kelvin Video Dailymotion

Como Convertir Temperaturas Puntuales Fahrenheit Celsius Rankine Kelvin Youtube
Presentation On Rankine Scale Msrblog

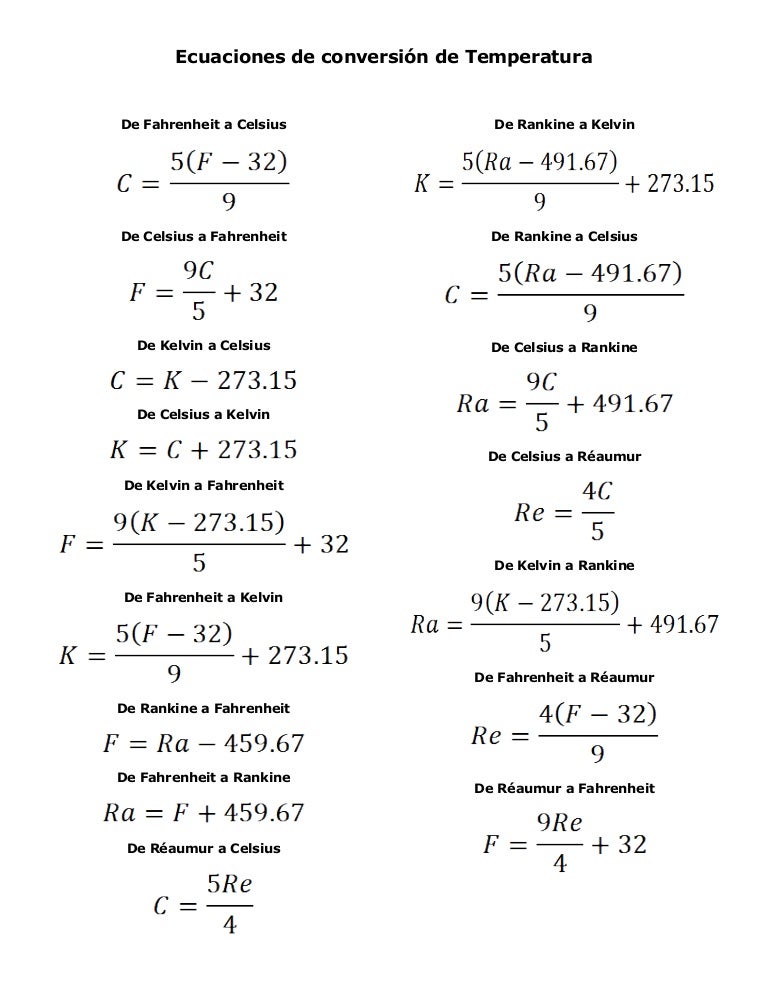
Ecuaciones De Convercion De Temperatura

De Grados Kelvin K A Grados Rankine R Conversion Unidades De Temperatura Youtube

Como Convertir Temperaturas Puntuales Fahrenheit Rankine Kelvin Youtube
What Other Temperature Scales Are There Besides Fahrenheit Celsius And Kelvin Quora

Temperatura Y Sus Escalas Proyecto Final J A L S

Termometria Conversiones De Centigrados A Kelvin Farenheit A Rankine En Videosdematematicas Com Youtube
![]()
Conversion De Farenheit A Rankine Kfd Com Tr

Conversor De Grados Kelvin A Rankine Cual Es Mi Ip Online Como Saber Cual Es Mi Ip Privada Y Publica

Conversion De Escalas De Temperatura Teoria Celsius Fahrenheit Kelvin Y Rankine Youtube

Conversion De Farenheit A Rankine New Daily Offers Sultanmarketim Com

Kelvin Degree To Rankine Convert ºk To ºr

Rankine To Kelvin Degree Convert ºr To ºk

Solved Problema 1 181 Complete Tabla Kelvin Fahrenheit Chegg Com







Posting Komentar untuk "De Kelvin A Rankine"