Calculo Integral Sumatorias Ejemplos
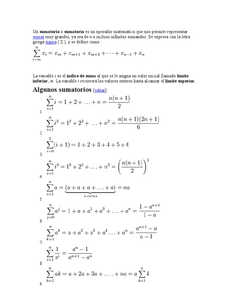
La variable i es el índice de suma al que se le asigna un valor inicial llamado límite inferior m. Resuelve tus problemas de matemáticas con nuestra calculadora de Cálculo Integral paso a paso.

7 1 Sumatorias Y Notacion Sigma Calculo De Una Variable
1 Desarrolla las siguientes sumatorias.

Calculo integral sumatorias ejemplos. Aprende cómo evaluar sumas escritas de esta forma. Notación Sumatoria y Sumas de Riemann En matemáticas se requiere la suma de grandes cantidades de datos y es pertinente tener una notación simplificada para indicar la suma de estos datos. Si la variable cuyos valores queremos sumar depende de dos o tres cuatro etc ındices utilizaremos un sumatorio doble o triple cuadruple etc.
Por Luis11 octubre 2017Cálculo Integral. La notación sigma es de la siguiente manera. Puedes encontrar todas nuestras calculadoras en.
Existen un sin fin de definiciones para tratar de explicar lo que es la notación sumatoria inclusive también se le conoce como sumatorio o notación sigma sin embargo en este artículo intentaremos dejar un poco de lado la historia del procedimiento y. Blog realizado con el propósito de facilitar la comprensión de esta hermosa materia. Podemos describir sumas con muchos términos por medio del operador sigma Σ.
3 Desarrolla las siguientes sumatorias. Definición características y ejemplos. Ubican en esta unidad por ser un caso de integral definida para aprovechar el contexto.
En el tema anterior hablamos de la notación sumatoria en dicho tema te mostramos un ejemplo en donde desarrollábamos y resolvíamos un problema esto lo hicimos en base a las sumas de Riemann a continuación te hablaremos un poco más del tema y te mostraremos algunos ejemplos. Calculadora gratuita de límites de sumatorios encontrar los limites de un sumatorio paso por paso. En el cálculo diferencial el problema de la tangente conduce a formular en términos de límites el concepto de derivada que posteriormente se aplica en forma de velocidades y otras razones de cambio a una diversidad de problemas de aplicación.
Una vez que se abordó la construcción conceptual de la integral definida se estudian la integral indefinida y los métodos de integración para tener más herramientas en la construcción de la antiderivada necesaria para aplicar el Teorema Fundamental. Sumatorios dobles o triples cuadruples etc. La Calculadora de Integrales te permite calcular en línea integrales y antiderivadas de funciones Gratis.
6 Aplica la propiedad telescópica. Contrario a los cursos tradicionales de matemáticas la mecanización de los procedimientos se considera producto del entendimiento de las ideas matemáticas que los justifican. En la forma de tratar este problema tiene que ver con la suma de muchos términos como.
Calculadora de Cálculo Integral. CÁLCULO INTEGRAL viernes 27 de enero de 2012. X 1 x 2 x 3.
X7 k1 zk 6 v u u t X7 k1 zk. La sumatoria o sumatorio llamada también notación sigma es una operación matemática que se emplea para calcular la suma de muchos o infinitos sumandos. Todas las técnicas comunes de integración e incluso funciones.
2 Escribe las siguientes expresiones en forma de sumatoria. CÁLCULO INTEGRAL EJERCICIOS RESUELTOS PASO A PASO. En los ejemplos que se discuten en el curso se hace énfasis en la comprensión y el entendimiento del porqué se debe realizar un procedimiento.
Mejora tus habilidades en matemáticas con nuestra amplia lista de problemas difíciles. Expresión que se lee. Definición ejemplos y ejercicios resueltos.
Escrito en Calculo Integral. Te ayuda a practicar mostrándote el procedimiento completo integración paso a paso. Índice de la integral definida.
X5 i1 i3 6 X5 i1 i3 X10 n1 lnn 6 ln X10 n1 n. Sumatoria de Xi donde i toma los. La notación de suma o notación sigma nos permite escribir la suma de muchos términos en una sola expresión.
Notación Sigma o Sumatoria Cálculo Integral. La operación sumatoria se expresa con la letra griega sigma mayúscula Σ y se representa así. Sumas De Riemann.
Así si una variable se puede denotar por X entonces las observaciones sucesivas de esta variable se. Nuestra calculadora te permite verificar tus soluciones a ejercicios de Cálculo. About Press Copyright Contact us Creators Advertise Developers Terms Privacy Policy Safety How YouTube works Test new features Press Copyright Contact us Creators.
Aquí encontraras como resolver integrales directas integrales por cambio de variables integrales por partes integrales trigonométricas racionalescálculo de área volumen y longitud ademas series. Calculo integral notacion sigma. Al mismo tiempo cuando k la cantidad de petróleo en el lago se puede calcular evaluando lim k S kPor lo tanto el comportamiento de las series infinitas se puede determinar observando el comportamiento de la sucesión de sumas parciales S kSi la sucesión de sumas parciales S k converge decimos que la serie infinita converge y su suma está dada por lim k.
La Notación Sigma o Sumatoria en Cálculo Integral en la historia uno de los problemas fundamentales cálculo ha sido determinado del área de una región acotada en un plano. Calcula las siguientes sumatorias. Por ejemplo la representación para la suma 1 1 x i i n es la siguiente.
La sumatoria se representa con la letra griega sigma. Por ejemplo dada una matriz cuadrada nn A aijij1n.

Ejercicios Resueltos Sobre Sumatorios O Notacion Sigma

Algebra Teoremas De Sumatorias Matematicas Universitarias Matematicas Ortografia Basica

Ejercicios Resueltos Sobre Sumatorios O Notacion Sigma
3 4 Sumatorias Y Sumas De Riemann Pfm Mineria 2015 02

Ejercicios Resueltos Sobre Sumatorios O Notacion Sigma

Notacion Sumatorio O Sigma Propiedades Y Formulas

Calculo Ii Notacion Sigma Teoremas Cambio De Variable
Mapa Conceptual Calculo De Una Variable

Notacion Sigma Explicacion Y Ejemplos Sumatoria Youtube

Sumatoria Ejercicios Grado Medio Docsity
3 4 Sumatorias Y Sumas De Riemann Pfm Mineria 2015 02

Ejercicios Resueltos Sobre Sumatorios O Notacion Sigma

Notacion Sumatorio O Sigma Propiedades Y Formulas





Posting Komentar untuk "Calculo Integral Sumatorias Ejemplos"